1.項目需求
為實現魚雷罐車傾倒自動化,不用人工參與,使得整個生產線的整個出鋼過程平穩進行,減少出鋼的時間。現在需要對魚雷罐車罐口形狀進行檢測,判斷罐口是否完整及魚雷罐水車內鐵水是否結渣。
2.需求分析及解決方案
2.1.需求分析
設計視覺檢測系統對魚雷罐車罐口和鐵水流柱進行檢測。設計使用熱成像相機進行圖像采集,根據溫度和形狀輪廓信息進行檢測。設備PLC控制視覺系統工作,視覺系統檢測完成將結果反饋PLC系統。判斷依據為視覺系統通過計算拍攝時的罐口面積與罐口未結渣時的面積比值輔以測量的罐口鐵水實際溫度判斷罐口是否結渣。
2.2.解決方案
- 魚雷罐車罐口形狀檢測系統相機安裝布局圖如圖1所示
魚雷罐車罐口形狀檢測,選用一臺熱成像相機拍攝魚雷罐車罐口形狀判斷罐口是否完整及魚雷罐水車內鐵水是否結渣,判斷依據為視覺系統通過計算拍攝時的罐口面積與罐口未結渣時的面積比值輔以測量的罐口鐵水實際溫度判斷罐口是否結渣。
魚雷罐車運行到位后,設備PLC系統向視覺系統發出檢測信號,視覺系統控制魚雷罐車罐口檢測相機拍照檢測,根據罐口處熱成像圖像形狀和溫度信息,分析罐口結渣情況,判斷是否滿足傾倒條件。

圖1 魚雷罐車罐口形狀檢測系統布局圖
- 流柱檢測系統相機安裝布局圖如圖2所示
鐵水柱流檢測,安裝兩臺熱成像相機,拍照鐵水柱流。一臺相機安裝在前面用于檢測左右,一臺相機安裝在側面用于檢測前后,智能相機的檢測信號通過后臺處理軟件分析得分析結果,分析結果傳于PLC進行報警和傾翻保護。
魚雷罐車開始傾倒后,設備PLC系統向視覺系統發出檢測信號,視覺系統控制兩臺鐵水流柱熱成像相機開始工作,視覺系統實施檢測出鐵水流出的前后、左右兩個方向的鐵水流柱寬度、位置信息,并將結果發送給PLC系統,供PLC系統控制傾倒角度。

圖2?流柱檢測系統布局圖
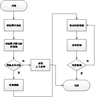
3.項目方案工作流程
自動出鋼系統工作流程如圖3所示。

圖3?項目方案工作流程
4.項目系統構成及收益
4.1.項目系統構成

圖4?項目系統設備組成
4.2.項目預期收益
- 實現魚雷罐車罐口結渣檢測;
- 實現魚雷罐車內鐵水溫度測量;
- 實現魚雷罐車傾倒時兩個方向鐵水寬度和位置檢測;
- 鐵水溫度測量精度:±2%
- 鐵水流柱寬度檢測精度<±5cm;
- 鐵水流柱液位位置精度<±5cm;
- 結渣不良檢出率100%。
5.項目難點及解決方式
1)現場高溫、高粉塵的惡劣工作環境,熱像儀能否正常工作;


圖5?高溫、高粉塵的工作環境
解決方案:風冷防護罩,防護等級IP67
為了解決冶金監測現場高溫、高粉塵的工作環境,保證熱像儀穩定工作;因此,我們給熱像儀加裝防護罩同時為其降溫,保證其穩定工作。
風冷防護罩采用雙層不銹鋼材料,壓縮空氣通過夾層到達前端并在此形成風簾,起到冷卻防塵的作用,具有較好的抗腐防塵能力,能在高溫多塵腐蝕性氣體較多的環境中使用。
?

圖6?格物優信紅外熱像儀風冷防護罩
2)濃烈的粉塵出現是否會影響熱像儀的成像及測溫檢測的準確性;

圖7?項目現場環境圖
解決方案:DDE圖像細節增強算法
該算法是格物優信通過多年累積以及結合現場復雜的工況,針對冶金行業成像做了大量優化工作。
- 能夠去除生產環境中粉塵帶來的圖像干擾;
- 能夠去除料面燃燒,火焰帶來的圖像干擾;
- 可清晰直觀看到被測對象的細節。

圖8??紅外圖像細節效果對比
